UNCCD Reporting - SDG 15.3.1

As part of the "2030 Agenda for Sustainable Development", Sustainable Development Goal (SDG) 15 is to:

"Protect, restore and promote sustainable use of terrestrial ecosystems, sustainably manage forests, combat desertification, and halt and reverse land degradation and halt biodiversity loss"

Each SDG has specific targets addressing different components, in this case, of life on land. Target 15.3 aims to:

"By 2030, combat desertification, restore degraded land and soil, including land affected by desertification, drought and floods, and strive to achieve a land degradation-neutral world"

Indicators will be used then to assess the progress of each SDG target. In the case of SDG 15.3 the progress towards a land degradation neutral world will be assessed using indicator 15.3.1:

"proportion of land that is degraded over total land area"

As the custodian agency for SDG 15.3, the United Nations Convention to Combat Desertification (UNCCD) has developed a Good Practice Guidance (GPG). providing recommendations on how to calculate SDG Indicator 15.3.1.

This document provides a brief introduction to SDG Indicator 15.3.1 and describes how each indicator is calculated by Trends.Earth.

In order to assess the area degraded, SDG Indicator 15.3.1 uses information from 3 sub-indicators:

  1. Vegetation productivity

  2. Bima ya ardhi

  3. Mkaa kaboni ya udongo

../../_images/indicator_15_3_1.png

Trends.Earth allows the user to compute each of these sub-indicators in a spatially explicit way generating raster maps which are then integrated into a final SDG 15.3.1 indicator map and produces a table result reporting areas potentially improved and degraded for the area of analysis.

Viashiria vya chini

Uzalishaji

Land productivity is the biological productive capacity of the land, the source of all the food, fiber and fuel that sustains humans (United Nations Statistical Commission 2016). Net primary productivity (NPP) is the net amount of carbon assimilated after photosynthesis and autotrophic respiration over a given period of time (Clark et al. 2001) and is typically represented in units such as kg/ha/yr. NPP is a variable time consuming and costly to estimate, for that reason, we rely on remotely sensed information to derive indicators of NPP.

One of the most commonly used surrogates of NPP is the Normalized Difference Vegetation Index (NDVI), computed using information from the red and near infrared portions of the electromagnetic spectrum. In Trends.Earth we make use of bi-weekly products from MODIS and AVHRR to compute annual integrals of NDVI (computed as the mean annual NDVI for simplicity of interpretation of results). These annual integrals of NDVI are then used to compute each of the productivity indicators explained below.

Land Productivity Dynamics (LPD) data are provided by the Joint Research Council (JRC) as the default data for computing the final SDG 15.3.1 Indicator.

Bima ya ardhi

To assess changes in land cover users need land cover maps covering the study area for the baseline and target years. These maps need to be of acceptable accuracy and created in such a way which allows for valid comparisons. Trends.Earth uses ESA CCI land cover maps as the default dataset, but local maps can also be used. The indicator is computed as follows:

  1. Reclassify both land cover maps to the 7 land cover classes needed for reporting to the UNCCD (forest, grassland, cropland, wetland, artificial area, bare land and water).

  2. Perform a land cover transition analysis to identify which pixels remained in the same land cover class, and which ones changed.

  3. Based on your local knowledge of the conditions in the study area and the land degradation processed occurring there, use the table below to identify which transitions correspond to degradation (- sign), improvement (+ sign), or no change in terms of land condition (zero).

../../_images/lc_degradation_matrix.png
  1. Trends.Earth will combine the information from the land cover maps and the table of degradation typologies by land cover transition to compute the land cover sub-indicator.

../../_images/lc_flow.png

Mkaa kaboni ya udongo

The third sub-indicator for monitoring land degradation as part of the SDG process quantifies changes in soil organic carbon (SOC) over the reporting period. Changes in SOC are particularly difficult to assess for several reasons, some of them being the high spatial variability of soil properties, the time and cost intensiveness of conducting representative soil surveys and the lack of time series data on SOC for most regions of the world. To address some of the limitations, a combined land cover/SOC method is used in Trends.Earth to estimate changes in SOC and identify potentially degraded areas. The indicator is computed as follows:

  1. Determine the SOC reference values. Trends.Earth uses SoilGrids 250m carbon stocks for the first 30 cm of the soil profile as the reference values for calculation (NOTE: SoilGrids uses information from a variety of data sources and ranging from many years to produce this product, therefore assigning a date for calculations purposes could cause inaccuracies in the stock change calculations).

  2. Reclassify the land cover maps to the 7 land cover classes needed for reporting to the UNCCD (forest, grassland, cropland, wetland, artificial area, bare land and water). Ideally annual land cover maps are preferred, but at least land cover maps for the starting and end years are needed.

  3. To estimate the changes in C stocks for the reporting period C conversion coefficients for changes in land use, management and inputs are recommended by the IPCC and the UNCCD. However, spatially explicit information on management and C inputs is not available for most regions. As such, only land use conversion coefficient can be applied for estimating changes in C stocks (using land cover as a proxy for land use). The coefficients used were the result of a literature review performed by the UNCCD and are presented in the table below. Those coefficients represent the proportional in C stocks after 20 years of land cover change.

../../_images/soc_coeff.png

Changes in SOC are better studied for land cover transitions involving agriculture, and for that reason there is a different set of coefficients for each of the main global climatic regions: Temperate Dry (f = 0.80), Temperate Moist (f = 0.69), Tropical Dry (f = 0.58), Tropical Moist (f = 0.48), and Tropical Montane (f = 0.64).

  1. Compute relative different in SOC between the baseline and the target period, areas which experienced a loss in SOC of 10% of more during the reporting period will be considered potentially degraded, and areas experiencing a gain of 10% or more as potentially improved.

../../_images/soc.png

Combining indicators

The integration of the three SDG 15.3.1 sub-indicators is done following the one-out all-out rule, this means that if an area was identified as potentially degraded by any of the sub-indicators, then that area will be considered potentially degraded for reporting purposes.

../../_images/sdg_aggregation.png

UNCCD Strategic Objective 2 (SO 2)

To improve the living conditions of affected populations

Addressing the global challenges of desertification, land degradation, and drought (DLDD) and their impacts on coupled human-environmental systems is a key component of the 2030 Agenda for Sustainable Development. In particular, Sustainable Development Goal (SDG) 15.3 aims to, by 2030, combat desertification, restore degraded land and soil, including land affected by desertification, drought and floods, and strive to achieve a land degradation-neutral world. Addressing this challenge is essential for improving the livelihoods of those most affected by DLDD and for safeguarding against the most extreme effects of climate change.

The livelihoods of people in degraded areas include multiple human and natural characteristics of local environments, including adequate access to food and water, either directly through subsistence livelihoods, through sufficient income to purchase food and water security, or a combination of both. If food and water security are achieved, outmigration from affected areas should no longer be forced but rather voluntary in nature. Socially and economically marginalized populations, communities and households tend to be disproportionally vulnerable to climate change and the combined effects of DLDD. The ability to identify and quantify the makeup, distribution, and relative vulnerability of such populations,communities, and households is critical in reinforcing livelihood resilience in order to enhance positive adaptations to DLDD

Trends.Earth allows users to monitor UNCCD's Strategic Objective 2 indicator on Trends in Population Exposure to Land Degradation Disaggregated by Sex (SO 2-3) by calculating the proportions of population, disaggregated by sex, exposed to land degradation. Trends.Earth uses gridded data representing the spatial distribution of the population over the SDG 15.3.1 Indicator map to establish its exposure to land degradation.

The (SO 2-3) indicator uses the following metrics:

-Percentage of the female population exposed to land degradation -Percentage of the male population exposed to land degradation -Percentage of the total (female and male) population exposed to land degradation

Trends.Earth provides access the WorldPop dataset, which is used by default by the UNCCD for calculating indicator SO2-3.

UNCCD Strategic Objective 3 (SO 3)

To mitigate, adapt to, and manage the effects of drought in order to enhance resilience of vulnerable populations and ecosystems.

Drought and land degradation

Land degradation as defined by the UNCCD refers to any reduction or loss in the biological or economic productive capacity of the land resource base. It is generally caused by human activities, exacerbated by natural processes, and often magnified by and closely intertwined with climate change and biodiversity loss.Land degradation reduces agricultural productivity and increases the vulnerability of those areas already at risk of impacts from climate variability and change, especially in regions of the world.

Drought is a complex, slow-onset phenomenon that happens over different time scales. It is characterized by a reduction in water availability, leading to cascading effects on people's livelihoods and economic sectors. Drought is sometimes simplistically defined as a period of dry weather long enough to cause a hydrological imbalance, although a globally agreed upon definition for drought does not exist. Moreover, drought hardly occurs as a single risk event but rather interlinked with other hazards such as heatwaves, wildfires, sand/dust storms, or floods.

The International Panel on Climate Change (IPCC) defines drought as "a period of abnormally dry weather long enough to cause a serious hydrological imbalance". Drought is a relative term, therefore any discussion in terms of precipitation deficit must refer to the particular precipitation-related activity that is under discussion. For example, shortage of precipitation during the growing season impinges on crop production or ecosystem function in general (due to soil moisture drought, also termed agricultural drought), and during the runoff and percolation season primarily affects water supplies (hydrological drought). Storage changes in soil moisture and groundwater are also affected by increases in actual evapotranspiration in addition to reductions in precipitation. A period with an abnormal precipitation deficit is defined as a meteorological drought. See also Soil moisture (IPCC Assessment Report 5, 2014). The United Nations Disasters Risk Reduction (UNDRR) defines drought as a slow-onset hazard, often referred to as a creeping phenomenon. The absence of a precise, universally accepted definition of drought adds to the confusion. Definitions must be region specific because each climate regime has distinctive climatic characteristics (UNDRR GAR Chapter 6). The lack of agreed upon definition complicates monitoring efforts, as the definition and monitoring approach are typically context specific. where poverty rates remain high despite efforts to reduce poverty, inequality, and enhance the socio-economic well-being of all people worldwide.

Drought increasingly impacts larger numbers of people, livelihoods, ecosystems, and economies worldwide. When it occurs concomitantly with land degradation, it can expose already vulnerable populations to deleterious livelihood, environmental, socio-economic, and health risks and decrease population and community resilience.

The UNCCD has adopted a monitoring framework with three levels for SO 3:

Level I SO 3-1 Trends in the proportion of land under drought over the total land area(Hazard), Level II SO 3-2 Trends in the proportion of the total population exposed to drought(Exposure), Level III SO 3-3 Trends in the degree of drought vulnerability (Vulnerability).

Under the IPCC framework:

Hazard is the potential occurrence of a natural or human-induced physical event or trend or physical impact that may cause loss of life, injury, or other health impacts, as well as damage and loss to property, infrastructure, livelihoods, service provision, ecosystems and environmental resources.

Exposure characterizes the presence of people, livelihoods, species or ecosystems, environmental functions, services, and resources, infrastructure, or economic, social, or cultural assets in places and settings that could be adversely affected.

Vulnerability is defined as the propensity or predisposition to be adversely affected by climate change and related processes.

In order to assess the SO 3 indicators, Trends.Earth uses information from 3 sub-indicators:

  • Standardized Precipitation Index (SPI)

  • Gridded global population dataset

  • Drought Vulnerability Index (DVI)

Trends.Earth allows the user to compute each of these indicators in a spatially explicit way generating raster maps and producing a summary table reporting areas potentially improved and degraded for the area of analysis. SO 3-1 "Trends in the proportion of land under drought over the total land area".

The United Nations Convention to Combat Desertification (UNCCD) has developed a Good practice guidance for national reporting on UNCCD Strategic Objective 3 (GPG-SO3). providing recommendations on how to calculate indicators of SO3.

This document provides a brief introduction to the UNCCD Strategic Objective 3 and describes how each indicator is calculated by Trends.Earth, following the Strategic Objective 3 Good Practice Guidance.

SO3 Level I indicator (SO 3-1 Hazard)

Steps to calculate Level I indicator following the UNCCD GPG-SO3:

  1. Calculate SPI using an accumulation period of 12 months (SPI-12) and gridded precipitation data

  2. Identify the drought intensity class of each pixel based on the previously calculated SPI

  3. Calculate proportion of land within each drought intensity class.

Standardized Precipitation Index (SPI)

The Standardized Precipitation Index (SPI) has been widely used to characterize meteorological drought or precipitation deficit, and was recognized through the Lincoln Declaration on Drought as the internationally preferred index for calculating and monitoring meteorological drought. SPI is calculated as standard deviations that the observed precipitation over a specified period would deviate from the long-term mean over periods of that duration considered over typically 30 years of data, for a normal distribution and fitted probability distribution for the actual precipitation record. The primary advantages for using the SPI for global drought monitoring, prediction, and risk assessment is that it is currently in use in many countries globally and is endorsed by the World Meteorological Organization. Other key advantages are that the SPI represents both precipitation deficits and surpluses, and it can be calculated at different timescales (e.g., SPI-3, SPI-6, SPI-12, with the number indicating the number of months over which the index is calculated). Thus, it indirectly considers effects of accumulating precipitation deficits, which are critical for soil moisture and hydrological droughts.

By default, Trends.Earth offers access to SPI calculated from the Global Precipitation Climatology Centre (GPCC) Monitoring Product, a raster representing precipitation and derived from rain gauge data featuring spatial resolution of ~27 sq km and covering the entire globe. Users have also the option to use an alternative SPI calculated from the Climate Hazards Group InfraRed Precipitation with Stations (CHIRPS), with precipitation estimates based on satellite observations combined to gauged station data at ~5 sq km. While CHIRPS features higher spatial resolution, it has a "quasi-global" coverage that spans 50°S to 50°N. Therefore, users interested in calculating SO3-1 Hazard for areas outside this range will not be able to use the CHRIPS dataset.

Step 1. Calculating SPI

The SPI quantifies observed precipitation as a standardized departure from a selected probability distribution function that models the raw data. The raw data can be fitted to a gamma or a Pearson Type III distribution, and then transformed to a normal distribution. The transformed precipitation data are then used to compute the dimensionless SPI value, defined as the standardized anomaly of the precipitation.

The detailed equations for computing this index are described in the following steps using the gamma distribution:

  1. The transformation of the precipitation value into SPI has the purpose of:
    1. Transforming the mean of the precipitation value adjusted to 0;

    2. Standard deviation of the precipitation is adjusted to 1.0; and

    3. Skewness of the existing data must be readjusted to zero.

When these goals have been achieved the standardized precipitation index can be interpreted as mean 0 and standard deviation of 1.0.

  1. Mean of the precipitation can be computed as:

../../_images/so3_spi_mean.png

where N is the number of precipitation observations.

  1. The standard deviation for the precipitation is computed as:

../../_images/so3_spi_std.png
  1. The skewness of the given precipitation is computed as:

../../_images/so3_spi_skew.png
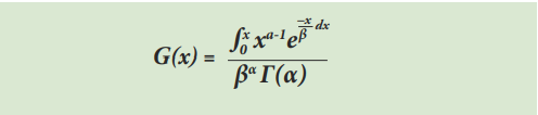
  1. The precipitation is converted to lognormal values and the statistics U, shape and scale parameters of gamma distribution is computed:

../../_images/so3_spi_gamma_params.png
  1. The resulting parameters are then used to find the cumulative probability of an observed precipitation event. The cumulative probability is given by:

../../_images/so3_spi_cumulative_prob_g.png
  1. Since the gamma function is undefined for x = 0 and a precipitation distribution may contain zeros, the cumulative probability becomes:

../../_images/so3_spi_cumulative_prob_h.png

where the probability from q is zero.

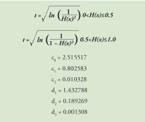
  1. The cumulative probability H(x) is then transformed to the standard normal random variable Z with mean zero and variance of one:

../../_images/so3_spi_spi_z.png

where:

../../_images/so3_spi_where_t.png

Step 2. Identifying drought intensity classes

The dimensionless SPI values are interpreted as the number of standard deviations by which the observed anomaly deviates from the long-term mean and are typically labeled categorically based on condition (i.e., extremely wet, extremely dry, normal) as shown in the table below. A drought occurs when the SPI is consecutively negative, and its value reaches an intensity of -1 or less and ends when the SPI becomes positive.

../../_images/so3_spi_table.png

Drought intensity classes are identified by assessing the December SPI-12 values for ear year of time-series. The December SPI-12 values represent the precipitation deficits (or excesses) over the Gregorian (January-December) calendar year. Positive SPI values are discarded, since they indicate that there was no drought in the given period.

For further details on SPI, see the Good practice guidance for national reporting on UNCCD Strategic Objective 3. We also recommend reading the Tools4LDN Technical Report on Monitoring Progress Towards UNCCD Strategic Objective 3 A review of Publicly Available Geospatial Datasets and Indicators in Support of Drought Monitoring.

Step 3. Calculating the proportion of land within each drought intensity class.

The equation to estimate the percentage of land within drought intensity classes takes the land area under the each drought intensity class identified in the previous step over the the total land area, as follows:

../../_images/so3_level2_equation.png

Where:

Pij is the proportion of land under the drought intensity class i in the year j

areaij is the land area under the drought intensity class i in the reporting year j

Total area is all the total land area.

SO3 Level II indicator (SO 3-2 Exposure)

The UNCCD SO3 Level III drought Exposure indicator is built upon the SO 3 Level I Hazard indicator by overlaying a gridded population data. Using the overlaying population as a proxy for calculating drought exposure is a straight-forward method. Knowing how many people are directly affected by drought can help aid get allocated to the most needed areas, based on percent of population exposed and strength of that exposure (drought severity). This method can also serve as a proxy for socioeconomic drought.The gender disaggregation calculation for the SO3 Level II population indicator is computed based on percent male and percent female in each grid cell. The outputs include exposure information by gender (percent male and percent female) exposed to each Level I drought intensity class. This produces two comparable grids that could be aggregated to administrative boundaries if desired, where global and local spatial relationships between gender and drought occurrence and/or severity can be better quantified and visualized.

The WorldPop collection is a global gridded high resolution geospatial dataset on population distributions,demographics, and dynamics. WorldPop's spatially disaggregated layers are gridded with an output resolution of 3 arc-seconds and 30 arc-seconds (approximately 100 m & 1 km, respectively at the equator) and incorporates inputs such as population census tables & national geographic boundaries, roads, land cover, built structures, urban areas, night-time lights, infrastructure, environmental data, protected areas, and water bodies. The strengths of WorldPop are that the population estimation method of dasymetric mapping is multivariate, i.e., highly modeled, and therefore tailored to match data conditions and geographical nature of each individual country and region. Gender information is also available. The weakness of WorldPop is that the utilization of such complex interpolation models with sparse census data may lead to highly uncertain and imprecise population estimates in some sub-national and rural regions. In spite of the aforementioned limitation, WorldPop remains the most ideal gridded population dataset as it satisfies all our inclusion criteria, including spatial resolution, global coverage, frequency of data updates, and inclusion of a gender-disaggregated component.

The percentages of population Exposure to drought are calculated by the number of people within each drought intensity classes over of the total population.

SO3 Level III indicator (SO 3-3 Vulnerability)

Drought Vulnerability assessment is based on the Drought Vulnerability Index (DVI), a composite index incorporating three components reflecting the vulnerability of the population to drought: i) social, ii) economic and iii) infrastructural. Currently DVI does not feature components on ecological or ecosystem vulnerability. Trends.Earth offers access to the global default DVI dataset produced by the Joint Research Centre (JRC). The JRC has developed a framework which integrates 15 economic, social, and infrastructural components related to drought vulnerability derived from global data sources. This framework recommends that drought vulnerability indicators should encompass orthogonal social, infrastructural, and economic factors that are generic and valid for any region.

The JRC framework for monitoring drought risk as described in Carrão et al., 2016 adopts an approach for SO3 assessing drought vulnerability that was initially proposed by the United Nations Office for Disaster Risk Reduction (UNDRR - formerly the United Nations International Strategy for Disaster Reduction or UNISDR) that reflects the state of the individual and collective social, economic, and infrastructural factors of a region [61]. This methodology has also been operationally implemented within the JRC Global Drought Observatory (GDO) to document and map global risk of drought impact for agriculture. The authors state that the factors that have been included do not represent a complete description of vulnerability in relation to a specific exposed element but can be viewed as the foundation for building a regional plan for reducing vulnerability and facilitating adaptation.

The methodology used in Carrão et al., 2016 follows the concept that individuals and populations require a range of semi-) independent factors characterized by a set of proxy indicators to achieve positive resilience to impacts. The methodology uses a two-step composite model that derives from the aggregation of 15 proxy indicators (show in the Table below) that represent social, economic, and infrastructural vulnerability at each geographic location (a similar methodology as the DVI, discussed subsequently) and are derived from both at the national level and very high spatial resolution gridded data.

../../_images/so3_dvi_table.png

This process involves first combining the indicators presented in the Table for each factor using a Data Envelopment Analysis (DEA) model, a deterministic and non-parametric linear programming technique that can be used to quantify the relative exposure of a region to drought from a multidimensional set of indicators. Secondly, arithmetically aggregating the individual factors resulting from the DEA model into a composite model of drought vulnerability such that:

../../_images/so3_dvi_equation.png

where Soc i, Econ i, and Infr i are the social, economic, and infrastructural vulnerability factors for region i.